- - Un-amplify Pressure Sensors(2)
- - Ceramic Pressure Sensors(1)
- - Amplify Pressure Sensors(2)
- - Altimeter Pressure Sensors(2)
- - Micro-Pressure Sensors(1)
- - Stainless Steel Pressure Sensors(1)
- - Digital Output Pressure Sensors(0)
- - PC board pressure sensors(5)
- - Intersema(40)
- - Pressure transmitters(2)
- - Weight sensors(2)
Industry News
More than 20 kinds of liquid level measurement methods
2010-12-13 17:22:55
Level including the level and level two. Level also includes the signal level and continuous level measurement device two. Level signal device is a fixed position of the level of several measurements, for the level of the upper and lower limit alarm. Continuous level measurement is a continuous liquid level measurement, is widely used in petroleum, chemical, food processing and many other areas, has very important significance. In this paper, more than 20 continuous level measurement methods were compared.
A glass tube method, glass method, two-color water, artificial foot law review
tube method: This method uses the principle of work connected device, as shown in Figure 1-1 [1]. Figure 1 - test vessel; 2 - glass tube; 3 - indicates the scale feet; 4,5 - valve; 6,7 - connecting pipe. Scale level instructions directly from the scale reading.

Glass method: glass can be installed through the connectivity can also be installed in the vessel wall openings, and passages in series to increase the range of the glass. Level value read directly from the glass scales.
Color indicator method: The method uses optical principles, so that the water is green, leaving the water vapor in red, which indicates the water level [2].
Artificial foot inspection method: The method used to measure the tank level. Measurement, the surveyor to put the oil dipstick, and in the foot mound brought in contact with the bottom of the tank dipstick. According to oil on the dipstick mark, read the oil level; according to dipstick end water cream color change to determine the height of the water cushion, high oil and water to determine the high [3].
Above 4 methods are manual methods of measurement, with measurement of simple, reliable, intuitive, low cost advantages.
2 blowing method, differential pressure method, HTG Law
blowing method: This method works as shown in Figure 2-1 [4]. Figure 1 - filter; 2 - valve; 3 - throttling element; 4 - rotameter; 5 - transmitter. Inflatable tube because the pressure is approximately equal to the static fluid column pressure, so P = ρgH

Where, ρ-fluid density; H-level. It can be measured by the level of static pressure P H. Blowing method for measuring corrosion resistance, a hanging cloud of liquid property, mainly used in less demanding precision applications.
Differential pressure method: This method works as shown in Figure 2-2 [4] . In the figure, 1,2 - valves; 3 - differential pressure transmitter. The open container or pressure vessel, valves 1 and gas pressure pipes can save cited. The relationship between pressure difference and the level for the ΔP = P2-P1 = ρgH

Where: ΔP-transmitter is, negative pressure chamber pressure difference; P2, P1-cited pressure pipe pressure; H-level. Differential pressure transmitter pressure difference will be transformed into 4 ~ 20 mA DC signal. If the pressure in the lower limit of measurement range corresponding to the output signal is greater than or less than 4 mA, then the need to zero by adjusting the spring migration migration technology, so that is equal to 4 mA.

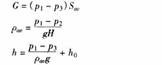
HTG Method: The method used in tank differential pressure level measurement, shown in Figure 2-3. The figure: P1, P2, P3-precision pressure sensor; RTD-temperature detection devices; HIU-interface unit. P1 is located near the bottom of the tank shell at, P2 8 feet higher than the P1, P3 in the tank shell near the top of Office. For the pressure tank, pressure sensor P3 omitted. Based pressure sensor P1, P2, P3 were measured pressure p1, p2, p3, then
Where: G-oil weight; Sav-tank average cross-sectional area; ρav-range pressure sensor P1, P2 average density between the oil; g is the acceleration due to gravity; H is the pressure sensor P1, P2 distance between; h is the oil height; h0 is the height of the pressure sensor P1. RTD used to measure the oil temperature to the temperature compensation of measured values. HTG measurement systems lower prices, but low level measurement accuracy, the installation shall be in the tank wall opening.
Above 3 methods are used to measure the liquid level of the pressure difference.
3 float method, float method, the float method, the servo method, Shen cone
float method: This method uses the float as the liquid level measurement devices, and disk drive coding or encoding with other display devices, or connecting to remote electronic transmitter transmission measurement signal.

Float method: This method uses the middle hole of the magnetic liquid level sensor tube as shown in Figure 3-1. Stainless steel casing from the hole through the middle buoys, fixed in between the tank top and tank bottom. Level changes driven hollow magnetic cylinder (containing a permanent magnet) moves up and down along the casing, and a magnet to attract the casing wall moved up and down along the casing, the second instrument based on the amount of movement calculated magnet level.
Float method: The method uses leverage the work shown in Figure 3-2 [4]. The figure: 1 - Float; 2 - connecting rod; 3 - shaft; 4 - balance weight; 5 - leverage. Float around the shaft to follow the level change rotation, rotation pointer on the drive shaft and the other end and leveraged balance weight balance, while the dial indicates the level value. Float within a float type and the law is outside the float type two, shown in Figure 3-2. Float method is mainly used to measure temperature, high viscosity of the liquid, but the smaller scale.

Servo Method: The method uses wave integral circuit to eliminate jitter, extend life and improve the level measurement accuracy. Servo level gauge for measuring modern high precision, has reached the 40 m range accuracy of less than 1 mm, and generally have a measured density distribution and the average density function.

Shen tube method: Shen tube position changes with the liquid level, but the variation does not change with the level equal amount. In Figure 3-3a in [4] , the relationship between position level with the float as follows:![]()
The formula: ΔH-level variation; C-spring constant; A-Shen tube cross-sectional area; ρ liquid density; ΔX-Shen Bin location of the change. Typically, the location of the change ΔX float level change is far less than the amount of ΔH. Figure 3-3b is the torque tube Shen cone principle [4], the figure: 1 - Shen Bin; 2 - Lever; 3 - torque tube; 4 - shaft; 5 - shell. Shen tube position changes with the level, the role of the lever, the torque tube shaft torsional angle changes, the second instrument based on the change in twist angle calculated level.
5 kinds of methods are used more than the buoyancy principle to work.
4, capacitance, resistance method, inductive method
capacitance method: non-conductive fluid used to measure the capacitance of Principle in Figure 4-1 [4]. Figure 4-1, the capacitance of two concentric cylindrical electrodes, whose capacity CH for the
The formula: ε1-measured relative permittivity of liquid; ε2-gas medium relative permittivity; H-capacitive sensor immersed in liquid depth (m); l-capacitance sensor vertical height (m); R-in the underside of the plate cylinder radius (m); r-outer radius of the plate cylinder bottom (m). Since R, r, l are all fixed, as long as the use of ε1, ε2, CH will be able to calculate the liquid level H. Figure 4-2 is used to measure the capacitance of conductive liquid Principle [4], the formula slightly. Capacitive level meter lower price, easy to install and can be applied to high temperature and pressure of the occasion. But the capacitance level measurement repeatability lower, requiring regular maintenance and re-calibration is not very long working life.

Resistance Method: The method [ 5], especially for measurement of conductive liquids, sensitive device has a resistance characteristic, the resistance value changes with the liquid level, so the change in resistance value will be sent to the secondary circuit which are liquid. Probe type using tracking method to measure the level to level up the case as an example to illustrate the principles of level measurement, when the liquid level rises, lift the probe completely out of the liquid, then slowly lower the probe to find surface, then When the probe and the location of the liquid that is new to correspond with the level. Probe type is characterized by a high precision measurement, control circuit complexity.
Inductive method: This method [5] for conductive liquid level measurement, in particular liquid metal. The principle of inductive method, the liquid level change makes the inductor inductance, mutual inductance, or permeability changes, thus changing the amount of the secondary circuit can be sent to the appropriate level value. Inductive method is the most widely used high-frequency level meter. The measurement principle of the level meter, the frequency modulated signal through the RF cable coupled to the transmission line sensor resonant circuit, resonant circuit after the output voltage detection circuit and RF cables sent to the low-pass filter, and then low-pass filter output voltage control tuning circuit, new oscillation frequency until the resonant sensor resonant circuit is in full state to date, the oscillation frequency at this time that the sensor's inductance corresponds to correspond with the level.
Use of the above 3 methods are generated level sensor changes the electrical parameters of the method to measure liquid level.
5 magnetostrictive, ultrasonic, modulation type optical, microwave
magnetostrictive method: The method used to measure the tank level of the principle shown in Figure 5-1 [6]. Figure 5-1, two floats were used to detect oil and gas interface and the oil-water interface. Have possession of the float within a set of permanent magnets, used to generate a fixed magnetic field. Measurement, given the low current level gauge head "ask" pulse magnetic field generated by the current downward conduction along the waveguide. Float when the current magnetic field and magnetic field meet, have a "return" pulse (also called "Bird distorted" pulse). Ask pulse and return pulse that corresponds to the time difference between the oil-water interface and the high oil and gas interface. Magnetostrictive level gauge easy to install, high accuracy, but the liquid density and temperature changes will bring the measurement error [7], float along the outside of the protection tube waveguide move up and down easily stuck.

Ultrasonic: transducer to convert electric power ultrasonic pulses, fired surface, the surface reflectivity and then again from the ultrasonic transducer converts electrical signals. Ultrasound is a mechanical wave, propagation attenuation, the interface reflection strong signal, and transmitting and receiving circuit is simple, and thus is widely used; but the ultrasonic propagation velocity by the media, density, concentration, temperature, pressure and other factors, the measurement accuracy is low.
Microwave Method: Microwave the antenna (mostly for the aperture antenna, there are planar antenna) radiated by the antenna after reflection surface, and then transmitting the signal from the secondary circuit computing the time difference with the received signal level obtained. Principle of continuous wave radar level gauge as shown in Figure 5-2, the liquid level meter using the triangular wave form of frequency modulation, and transmitting signals by mixing the received signal and the difference between the signals obtained after analysis, microwave transmission time to calculate the liquid level. By microwave transmission medium speed, temperature, pressure, dielectric constant of the liquid is small, but the volatility of the liquid interface, the liquid surface of the foam, the microwave dielectric constant of the liquid medium has great influence on the strength of the reflected signal. When the pressure exceeds the set value, the pressure on the liquid level measurement accuracy will have a significant impact. Less than the specified value for the dielectric constant of the liquid, most of the radar level instruments are required by the waveguide, the waveguide corrosion, bending and tilt can affect measurement accuracy. For example: When the air is high h 20 m, and vertical waveguide tilt angle α long as more than 0.573 °, Δh is the error level caused by more than 1 mm, which proved that the angle α (in degrees) small, Δh meet:![]()

Radar level gauge is particularly suitable for high pollution or high viscosity products such as asphalt. Radar level measurement repeatability higher, without regular maintenance and re-calibration, measurement accuracy is higher, but the price is higher, difficult to measure the oil-water interface.
Modulated optical method and microwave method is similar, but with phase or frequency modulated optical signals instead of microwave signals. Figure 5-3 is a schematic diagram of laser radar level gauge [8]. But the optical signal by water vapor, oil vapor greater impact, and the level fluctuation is very sensitive, and must be susceptible to contamination by the optical lens.

Above 3 methods are spread by detecting the signal of time to determine the liquid level. Let the received signal and transmitting signal time difference is t, the empty high-h = vt / 2, v for the wave propagation speed.
6 magnetic flap method, vibration method, nuclear radiation, optical fiber sensor Law
Principle magnetic flap as shown in Figure 6-1a shows [1], 1 - flap indicates components; 2 - float; 3 - connecting pipe components ; 4 - adjustment screws; 5 - put drain plug. Float with a group of permanent magnets, with the level go up and down movement, driven by magnetic coupling component magnetic flap flip. When the liquid level rises, the magnetic flap red side out; level falls, the white side out. Therefore, according to the color magnetic flap level can be determined. In the float magnet and magnetic flap magnetic structure shown in Figure 6-1b [5], the distance between each piece flap was 10 mm. Magnetic flap with a few series to increase the range of devices.


The principle of vibration method in Figure 6-2 [9]. By the rail vibration level gauge, test stands, hammer shock, vibration sensor, servo and other components. Servo control of crawling up and down and hammer excitation, excitation by the free vibration after the vibration sensor, the detection signal obtained by the FET transformation frequency at maximum power, and finally when the natural frequency of the empty / fluid level relations bit. The liquid level measurement methods need to shock hammer, servo and other mechanical moving parts, and its working life is not very long, regular maintenance and re-calibration, installation is also more complex.
Radiation: radioactive radiation in the decay process will ray, common rays α, β, γ-rays. Where, γ-ray penetrating power, long range, so the liquid level measurement of nuclear radiation is widely used. Experimental results show that γ-ray intensity through the material before and after the change occurs, and meet the following relationship [5]:![]()
The formula: J0-through material strength before; J-through material strength after; μ-material on the γ-ray attenuation characteristics; d-material thickness. Liquid level meter from the radiation sources, detectors and processing circuits. Most used sources of cobalt or cesium -137 -60. Ionization chamber detectors, counting tube, scintillation counter, such as several, whose role is to detect the intensity of radiation penetrating substance. Radiation using non-contact level gauge installed, as shown in Figure 6-3. Figure 6-3a using point sources, detectors, measuring a smaller range; Figure 6-3b using point sources, linear detectors, the larger measuring range; Figure 6-3c using linear radioactive sources, detectors , the largest measuring range. In addition to γ-ray, the neutron radiation can also be used to measure liquid level. Neutron penetrating power is very strong, stronger than 10 times more γ-rays can penetrate up to 9-inch wall thickness steel container [10]. Ray level gauge, easy installation, precision measurements can meet the needs of a large tank, there are certain applications.

Fiber Optic Sensing Method: Literature [ 11] proposed a fiber liquid level sensor, when the liquid level changes, the elastic diaphragm pressure sensor have the sensitivity of displacement, led reflective film movement, the feelings of the probe light intensity changes, in order to estimate the liquid level. [12] proposed another kind of fiber optic liquid level sensor, according to the probe in the gas and liquid media feel the difference in light intensity to determine the location of the probe and control probe track level changes, resulting in level value.
7 Conclusion
In this paper , more than 20 kinds of liquid level measurement methods were compared. In practice, the price should be based on the measurement accuracy, the characteristics of the measured medium and other factors, a reasonable choice of the type of level gauge.